超声波脉冲多普勒流量计的压电换能器发送具有脉冲持续时间为Tpulse的一组脉冲超声波,由其自身的频率f0设定,而频率f0又由换能器的尺寸、材料等等定义。这些脉冲波以一定的重复TPRF发送(PRF=脉冲重复频率),其周期对应于对接收信号进行采样所需的时间。

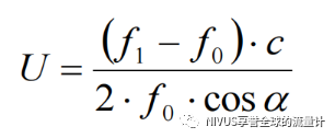
空间分辨率由空间的temporal gate(门)表示。该门呈现对应于物理距离的时间位置Tp和对应于假定为锥形圆柱体的体积的时间帧Tf。在回波模式下,由于存在反射体(颗粒、气泡等等),信号被反向散射;因此,Tp和Tf的值直接为我们提供了后向散射信号的定位,然后可以对其进行分析以确定速度。与连续多普勒流量计相同,脉冲多普勒使用多普勒效应来计算定义帧中的速度:

脉冲多普勒方法受到某些约束的限制。最大可测量频率受脉冲重复频率的限制。有以下关系(奈奎斯特定律):

综上所述,与连续多普勒相同,脉冲多普勒也是基于多普勒效应:向水中发射脉冲超声波,超声波遇到水中颗粒后反射;脉冲多普勒流量计接收到的反射波的频率将发生变化。脉冲多普勒流量计将记录这个频率的变化值,并根据Tp和Tf确认反射颗粒的位置信息;结合多普勒效应,计算出颗粒的运动速度,并计算得到流量。
脉冲多普勒比连续多普勒多了颗粒的位置信息,提高了流量测量精度。
与连续被多普勒相同,脉冲多普勒也是基于多普勒效应,同样有如下的缺点:
☒ 测量精度受颗粒浓度影响;
☒ 实际为点流速,而非断面流速;
☒ 信号穿透深度受奈奎斯特限制影响;
☒ 流速由统计确定最终结果,而非实际测量结果;
☒ 需要稳定的流场条件;
☒ 需要定期校正,通过比较测量进行校准。